急性呼吸道感染(ARI)是全球最常见的传染性疾病,其中病毒感染是其主要病因。然而,病毒感染与细菌等其他病原体所致呼吸道感染在临床症状上高度相似,缺乏特异性,给早期病原学鉴别带来巨大挑战。这种诊断不确定性不仅限制了呼吸道病毒感染的及时识别,还可能导致抗生素的不当使用、抗病毒治疗的延误,甚至增加患者发生不良预后的风险。因此,快速、可靠的呼吸道病毒感染鉴别诊断方法具有迫切的临床需求。
2026年1月,中日友好医院曹彬、王业明团队于Emerging microbes & infections发表题为“Myxovirus resistance protein A to differentiate between viral and non-viral respiratory infections in adults: a prospective study”的研究论文,证实干扰素诱导蛋白黏病毒抗性蛋白A(MxA)对成人急性呼吸道病毒感染具有良好的鉴别诊断性能,为急性呼吸道感染的快速病因筛查和临床决策提供了新的实验室工具。
研究方法:
该研究是一项前瞻性、多中心诊断试验,共纳入518例门诊及住院成人ARI患者,以及158例无症状对照者。所有受试者均采集外周血样本进行MxA定量检测;同时,对ARI患者采集呼吸道样本,采用基于多重PCR的靶向基因组测序进行病原学检测,并根据临床需要同步进行常规微生物学检测。
依据微生物检测结果对ARI患者进行病因分类,其中325例被归类为病毒检出组,193例为非病毒检出组(进一步包括131例细菌/真菌检出者和62例无病原检出者)。
主要结果:MxA在病毒感染者中呈现特异性升高的临床特征
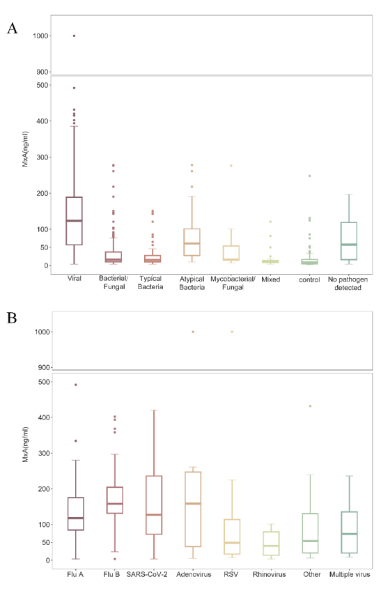
研究团队首先分析了不同病原检出组中的MxA水平特征。结果显示,病毒组的MxA水平(中位水平123.6 ng/ml)显著高于细菌/真菌组(中位水平15.9 ng/ml;p < 0.001)、典型细菌组、无症状对照组及无病原检出组。不典型病原组的MxA水平略高(中位水平 60.9 ng/ml)。
进一步分析不同病毒感染类型的MxA水平发现,单纯病毒检出组的MxA水平显著高于病毒合并其他病原检出组,其中位水平分别为136.3和69.0 ng/ml。在具体病毒亚型中,腺病毒感染者的MxA水平最高,中位水平158.2 ng/ml;而呼吸道合胞病毒和鼻病毒检出者的MxA水平相对较低,中位水平分别为48.4和40.2 ng/ml。

急性呼吸道感染者与无症状对照者的MxA水平箱线图。(A)按病原分组的MxA水平箱线图;(B)按病毒类型分组的MxA水平箱线图。
主要结果:MxA对呼吸道病毒感染具有良好的鉴别诊断价值
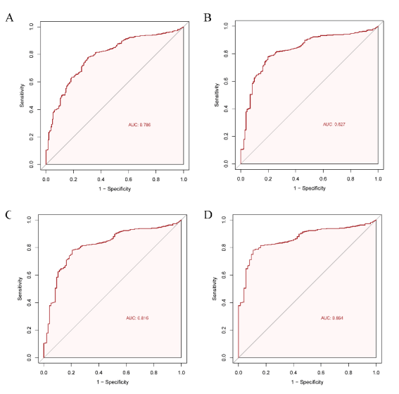
研究团队进一步通过受试者工作特征(ROC)曲线评估了MxA的鉴别诊断效能。总体来看,MxA区分病毒与非病毒性ARI的曲线下面积(AUC)为0.79。在病原学明确者中,MxA的诊断效能进一步提升,其区分病毒与细菌/真菌检出者的AUC为0.83。在最佳诊断阈值50 ng/ml时,其灵敏度为77.8%,特异性为80.2%。
此外,在鉴别病毒组与无症状对照组时,MxA表现出极高的诊断准确性,其AUC为0.93,对应的最佳诊断阈值为36 ng/ml。
MxA鉴别呼吸道病毒感染的受试者工作特征曲线。(A) MxA用于区分病毒与非病毒(包括细菌/真菌组与无病原检出组)组的ROC曲线。(B) MxA用于区分病毒与细菌/真菌组的ROC曲线。(C) MxA用于区分病毒与细菌组的ROC曲线。(D) MxA用于区分病毒与不典型病原组的ROC曲线。
主要结果:MxA在急性呼吸道感染中的适用场景需要甄
当采用50 ng/mL作为诊断阈值时,MxA区分病毒与细菌/真菌感染的特异性在不同感染部位、免疫状态及年龄组中均保持较高水平。然而,在下呼吸道感染患者中,MxA的诊断灵敏度下降,在免疫抑制人群中亦呈现出明显降低的趋势。进一步分析显示,在排除检测48小时内无发热的病毒性感染病例后,MxA在下呼吸道感染人群中的诊断准确性得到一定改善,提示发热状态及检测时点可能对MxA的水平具有重要影响。
在不同亚组中MxA对病毒和细菌/真菌性ARI的鉴别诊断性能。
结论
该研究证实,MxA是诊断急性呼吸道病毒感染的可靠生物标志物,可应用于发热门诊和急诊场景下的快速病因筛查,并可作为成人下呼吸道感染的辅助病因鉴别工具。此外,MxA水平可能在一定程度上反映病毒感染者所处的疾病阶段。未来研究有必要进一步评估MxA在指导抗病毒治疗决策中的实际价值,并探索其在病毒性ARI中的潜在预后预测意义。
